栏目类别
推荐产品
CL138UV 能量计
CL503色彩照度计
CI510S小口径色彩分析仪
CL300色彩照度计
CI300色彩分析仪
CI808光谱色彩分析仪
CI510色彩分析仪
CI810光谱色彩分析仪
CI820光谱亮度计
CL350色彩照度计
联系方式
邮箱:info@huicolor.com
电话:0755-23179385
手机:13316532084
地址:深圳市龙华区大浪街道星越大厦316
技术文章
光源蓝光危害基本知识及测量方法
- 发布时间:2025-08-11
- 浏览次数:1
光源蓝光危害基本知识及测量方法
一 蓝光危害的基本知识
依据的标准是GB/T 20145/CIE S009,蓝光危害是指当蓝光辐亮度达到标准规定的2类或者3类时,会在较短的时间或瞬间对人眼造成的伤害。
蓝光大量存在于电脑显示器、荧光灯、手机、数码产品、显示屏、LED等光线中,该波长内的蓝光会使眼睛内的黄斑区毒素量增高,严重威胁我们的眼睛健康。
日常生活蓝光随处可见,但接触到的有害蓝光主要来源为LED液晶屏幕。LED液晶电视作为客厅娱乐的主要载体,大部分家庭选择晚上睡前看电视,甚至不少民众会在看电视时关上灯光,加之闪屏等因素,导致有害蓝光对眼睛造成伤害。由于有害蓝光对眼睛的伤害是日积月累的,因此电视蓝光对眼睛的伤害要引起足够的重视,特别是青少年儿童。
足球场等户外大型工程项目的照明光源通常亮度非常高,工程验收时有要充分测试和验证蓝光危害。
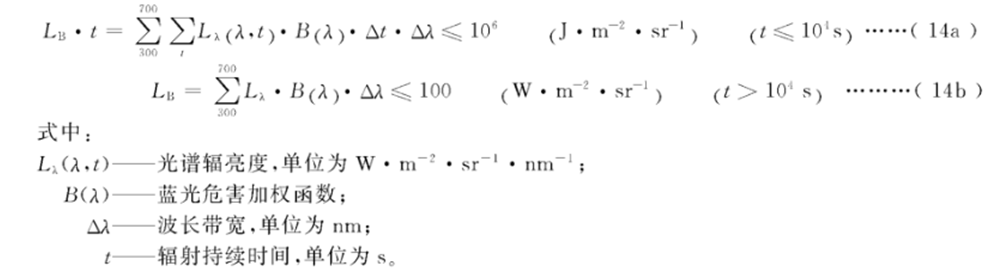
蓝光危害通常用蓝光加权辐亮度来评估,公式如图1所示。

图 1
依据GB/T 20145蓝光视网膜危害可分为以下几类,如图2所示。

图 2

图 3
二 蓝光危害的测量方法
蓝光危害的有严格的测试流程和方法,大部分用户的做法直接将光源送至有资质的计量研究进行辐亮度光谱数据采集,然后计算加权辐亮度,最终得到蓝光危害等级。
其实还有另外一种便捷的测试方法直接使用可以测量蓝光辐亮度危害的高精度的分光辐射亮度计测试,如图3所示CI820S光谱亮度计。
三 CI820S光谱亮度计概述
CI820S光谱亮度计是一款的国产便携式亮度计。仪器采用高精度凹面光栅作为分光元器件,可采集350~800nm波长范围的光源辐射亮度光谱,输出1nm间隔辐亮度光谱,0.5°测量角度,最小测量区域Φ22mm,测量量程最高可达200000 cd/㎡,配合选配高亮镜头,最高亮度可达300万cd/㎡。仪器配置2.8英寸TFT电容触摸屏、4000mAh锂离子电池、蓝牙/WIFI多功能芯片、大容量存储器。
仪器不仅可以测量辐亮度光谱、亮度、色温、显色指数、色品坐标、主波长、峰值波长等技术参数;还可以轻松测量蓝光加权辐亮度、蓝光危害等级和紫外线UVI等参数,与计量院数据一致性好。
仪器配置单次测量、平均测量、连续测量、闪光测量、闪烁频率等多种测量模式;操作便捷,测量精准、稳定。
四 CI820S光谱亮度计测试蓝光危害的方法
检查光源大小,如果光源发光面直径大于2.2mm,可以采用CI820S光谱亮度计进行危害检测,操作方法简单,非常符合国人操作习惯,具体操作如下:
4.1 仪器开机,开关拨动到位置1。
4.2 仪器颜色指数选择蓝光危害“safety of lamps”,如图4所示。
4.3 待测照明光源预热半小时,使待测照明光源的发光性能彻底稳定。
4.4 仪器测量口距离待测照明光源发光面200mm,使仪器的测量口轴线和发光面尽量垂直,必要时可开启CI820S的激光定位辅助查找定位测试点,如图5所示。
4.5 按压仪器CI820S测试按键,测试完成,如图6所示。
4.6在仪器上点击显示屏光谱图标或滑动屏幕各种图片可显示出来,也可用免费的专业PC上位机软件HIQC打印测试报表,如图7所示。

图 4

图 5

图 6

图 7
五 CI820S光谱亮度计测试蓝光危害的准确性
CI820光谱亮度计测试几款照明光源的蓝光危害等级与计量院报告数据对比,如图8~10所示。
如果CI820S光谱亮度计能和计量院在同样的环境和同步测试,数据将更接近,但是不影响蓝光危害等级的评价结果。
如果蓝光危害等级为RG2/RG3,可进一步用CL800分光辐射照度计,测试Eth的距离。
如果光源发光面直径小于2.2mm,可以采用CL800分光辐射照度计测试蓝光辐照度危害等级。
CI820S除了可以测试蓝光辐亮度危害外,还可以测试紫外线指数UVI和紫外线UV加权辐亮度,评估更全面。
更多细节请咨询公司技术支持。
注: 1mW/sr/cm²=10W/sr/m²。

图 8
图 9

图 10


